高性能透明樹脂 TPX — 聚4-甲基-1-戊烯(PMP)
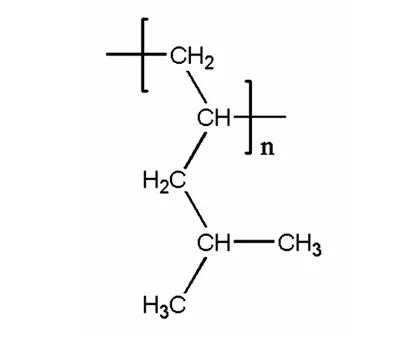
PMP簡要介紹 聚4-甲基-1-戊烯,英文簡稱PMP,商品名TPX?。PMP是一種具有異丁基支鏈(R=CH2CH(CH3)2,R代表側鏈)的具有等規結構的α-烯烴。PMP外觀無色透明,密度為0.833g/cm3,是密度最小的熱塑性樹脂。PMP是一種高等規度結晶型樹脂,是目前已商業化的高透明度樹脂中唯一的結晶性聚合體。其獨特的結構賦予聚合物特殊的性能,包括高熔點(235~240℃),Tg溫度在35℃左右,耐熱性能優越;透光率大于90%,霧度<5%,紫外線透光度優于其他透明樹脂以及玻璃;卓越的電氣絕緣性能、低介電特性能;以及耐化學藥品性。因此,PMP在電子電器、光學儀器、包裝材料、高端醫療等領域都有著重要的用途。 聚4-甲基-1-戊烯的化學結構式 PMP發展歷程 1950年代,意大利化學家,Giulio Natta在世界范圍內首先合成了PMP。 1965年,英國帝國化學工業集團(ICI)實現了PMP的工業化生產并進行深入研究,商品名:TPX?。 1973年,英國ICI公司將PMP業務出售給日本三井石化工業公司(即現今的三井化學株式會社)。 1975年,日本三井化學進一步發展ICI公司的PMP相關生產技術,完成商品化PMP的大規模生產。 2003年,三井化學株式會社將 Iwakuni Ohtake工廠TPX的年生產能力從68kt提高到75kt。 現階段全球市場中,聚4-甲基-1-戊烯生產企業主要有日本三井化學株式會社(Mitsui)、美國RTP Company、德國恩欣格公司(ENSINGER)等。 PMP特色性能 與傳統聚烯烴材料對比,PMP具有獨特的鏈結構與螺旋結構,使其不僅具備優良的力學性能,還擁有高熔點、低密度、低介電常數和高透光性等性能特點,因而在一些特殊應用領域具有不可替代的作用。 高耐熱性 PMP TPX?熔點在230-240℃之間,是熔點最高的聚烯烴樹脂,同時也是透明塑料中熔點最高的。PMP的熱變形溫度(0.46MPa時)與PS相當,略低于PP和PC,但PMP的熔點和維卡軟化點遠高于PP、PC和PS等。此外,PMP的使用溫度可以達到150℃以上,且在此溫度下可以保持形狀穩定,甚至180℃下仍然可以保持24h不變形。 相關應用:適用于高溫環境用途,比如如汽車配件、微波爐、耐熱餐具等方面。 高透明性 PMPTPX?的高透明度主要是由于結晶相的螺旋組型中分子的光學異向性(anisotropy)低,以及結晶部份與無定形部份的密度及折射率接近所造成的。結晶部份與無定形部份的折射率很接近,使得材料的等向性(isotropy)高。因此,PMP TPX?便成為目前已商業化的高透明度樹脂中唯一的結晶性聚合體。PMP霧狀度<5%,透光率可達92.3%,優于PC和PS等。特別是對紫外線的透過率比玻璃及其他透明樹脂更高。 相關應用:光學分析元件、實驗器具(比色皿、試管)、食品容器,動物飼養籠 易剝離性 PMP TPX?擁有超低表面張力 (24 mN/m) ,僅次于氟類樹脂,對各類材料的剝離性能皆非常良好。可做熱固性樹脂 (聚氨酯、環氧樹脂等) 固化時的離型材料。另外,利用TPX?與熱塑性樹脂 (PET等) 不兼容的特性,可用于PET薄膜的多微孔化。 相關應用:食品容器、FPC離型膜、橡膠軟管、合成革用離型紙、樹脂改性、LED模條 耐化學性 PMP TPX?分子結構中飽和的C-C單鍵,使得PMP比起聚碳酸酯和丙烯酸樹脂類具有更優異的耐化學藥品性。特別是對酸、堿、酒精等均具有良好的耐受性。故被廣泛應用于如下各類領域。 相關應用:化妝品瓶蓋及軟管、實驗器具、分析儀用器具 高透氣性 PMP TPX?因其龐大且螺旋排列的獨特分子結構,使其具有良好的透氣性能。PMP透氣性較聚丙烯(PP)高12倍,25℃時PMP膜對O2,N2的透氣速率分別為27×10-10,6.5×10-10 cm/ (cm2·s·cm),是一種很好的氣體分離膜材料,特別是在富氧膜領域。此外,PMP膜對CO2 與O2 的氣體分離系數為2.1,可用于體外膜肺氧合器的膜組件。 相關應用:氣體分離膜、滲透膜、隔膜、體外膜肺氧合器 低介電性 PMP TPX?分子中不存在極性基團,具有與氟類樹脂不相上下的低介電特性。PMP較低介電常數(ε=2.068F/m)在合成樹脂中最小;較低的介電損耗(10GHz,tanδ=0.0008),與PMMA、聚氯三氟乙烯(PCTFE)、聚四氟乙烯(PTFE)以及電纜級LDPE相當。而且,其介電特性不易受頻率影響,可以在各種頻段下皆維持穩定的品質。因此PMP材料非常適合應用于高頻電器領域。 相關應用:高頻電子元件、印刷電路底版、照明器件、5G基站配件、高壓電線用絕緣子等高頻電器 低折射率 TPX?的折射率為1.463nD20,僅次于氟樹脂。可以作為低折射率材料使用。 低密度 PMP的密度0.83g/cm3左右,為熱塑性材料中密度最低,接近熱塑性材料密度的最低理論值。與其他透明樹脂相比成型品的質量更輕,如PMMA和聚碳酸酯(PC)密度均為1.20g/cm3左右,聚苯乙烯(PS)密度為1.05g/cm3,透明聚丙烯(PP)密度為0.90g/cm3。PMP是唯一的一種晶相密度小于非晶相的半結晶高聚物。TPX?可單獨使用,亦能與其他樹脂配合,實現輕量化。 相關應用:醫療/電子產品輕量化方面 耐蒸煮性 TPX?屬于聚烯烴,吸水率極低,僅為0.01%,不會因吸水而導致尺寸變化。對水及水蒸氣具有極高的耐受性,在沸水中也不會水解,因此可以用于需要蒸煮殺菌的醫藥品實驗器具及動物飼養籠等。 相關應用:醫療用品,實驗器具,食品容器 衛生安全性 PMP TPX?是一種惰性的無毒材料,食品級TPX?符合日本通告號370、日本衛生烯烴與苯乙烯塑料協會自愿性標準、美國食品藥品監督管理局(FDA)法規及歐盟法規等,具有上佳的衛生安全性。 相關應用:食品包裝和微波爐用餐具。 PMP聚合工藝 單體:4-甲基-1-戊烯(4-MP-1) 溶劑:正庚烷 催化劑: Ziegler-Natta催化劑(氯化鎂負載) 聚合方法:配位聚合 聚合工藝:淤漿聚合 工藝路線: 采用堿金屬催化劑,催化丙烯二聚反應,得到PMP的單體4-甲基-1-戊烯(4-MP-1); 4-MP-1 單體在Ziegler-Natta催化劑的作用下聚合生成 PMP; 聚合過程中,通過外加給電子體,調節其產物的立構規整性以及等規度。 工藝要點: 為解決Z-N催化劑的活性和等規度偏低等問題,三井化學采用了將催化劑與外給電子體共研磨方式增大催化劑體系的比表面積的方法。 PMP產品包括均聚產品和共聚產品。共聚PMP一般為4-MP-1與丁烯-1、已烯-1、辛烯-1及癸烯-1等α-烯烴共聚生產。與均聚PMP相比,共聚PMP熔點和剛性略有降低,但透明度、沖擊強度及加工性能等有所提升。 PMP晶體結構 等規PMP至少有4種不同的晶體形式,其中形態Ⅰ、Ⅲ為四方晶系,形態Ⅱ為單斜晶系,形態Ⅳ為六方晶系,4種晶型形態中聚合物分子鏈都為螺旋狀,只是螺旋程度有所差異。 晶型Ⅰ為最穩定形態,存在于熔融結晶的試樣以及擠出成型制品中,也可通過在高沸點溶劑中結晶得到,其他結晶形態形成條件較為苛刻,且穩定性差。 聚合物低密度的原因是聚合物鏈螺旋排列堆積松散導致的結果。 聚合物結晶區和非結晶區的密度和折光率基本一致,是由于PMP分子鏈骨架上含有異丁基支鏈,最終導致PMP具有透明度能夠超過90%、霧度低于3%的高透性質,商業樹脂的透光率達到為90%~95%。 PMP的結晶相是可滲透的,分子鏈排列較為疏松,有利于氣體分子滲透,因此,PMP可用于制備氣體分離膜材料。 PMP的高端應用 PMP TPX?是以 4-甲基1-戊烯為基礎的烯烴共聚物。TPX 擁有特殊的分子結構,是一種結晶性聚烯烴樹脂,有出色的透明性、耐熱性、易剝離性、介電性、耐化學藥品性,廣泛應用于各個食品包裝、醫療器械、電子電器等眾多領域。 PMP耐熱、透明、透濕、透氣,可用于食品的保鮮包裝,并可作為耐高溫保鮮膜使用,適用于微波爐烹調及再加熱,可安心使用。三井化學開發的PMP耐高溫食品保鮮膜,耐熱溫度可達180 ℃,耐冷溫度達-30 ℃,且不含塑化劑,安全環保。 基于較高透明性、輕質化和耐熱性、低介電常數等特點,PMP可以應用于制造車燈、耐熱透鏡、 照明設備、電器零件及高頻電子元件等。此外, PMP因其優異的電氣絕緣性、低介電常數和介電損耗,可用于5G通信基站射頻端絕緣子。 PMP具有高透明性、無毒、耐溫性能好及耐蒸煮性佳等特點,可以較好地應用在醫用領域,也是目前PMP重要應用方向之一。PMP醫用制品具有可多次殺菌重復使用的特點,除了用于醫用注射器、血液分離槽和紫外線血液分析池外,目前高端的應用是體外膜肺氧合治療儀(ECMO,俗稱人工肺的肺膜),在2020年抗擊新冠肺炎疫情中屢次挽救了危重病患者。 膜肺作為ECMO系統的核心部件,由中空微孔纖維膜絲構成。由于PMP具有對空氣滲透率高、通量在所有聚合物中處于較高水平的特點。同時PMP耐藥品腐蝕性好、溶出率低和衛生安全性高等特點還解決了血漿滲漏和生物安全等問題。PMP中空纖維膜,已經成為新一代制造肺膜的材料。 寫在最后 目前世界上只有日本三井化學株式會社等極少數公司可以生產PMP樹脂材料。由于產量有限、售價較高,限制了PMP在國內的應用,但PMP在醫療器械、電子電器、包裝材料、微孔材料、共混改性等方面應用越來越廣,用量也在日益擴大。 生產PMP的原料單體是4-甲基-1-戊烯(4-MP-1)。4-MP-1主要通過丙烯二聚反應制備得到,但該反應自發程度較高,會伴隨著低濃度的4-甲基-2-戊烯(4MP2)、1-己烯(1-Hex)等產物釋放,導致最終產物成分復雜,且副產物與4-甲基-1-戊烯具有相似的物理化學性質,分離難度大。 目前PMP的原料單體4-甲基-1-戊烯(4-MP-1)還未國產,上游單體的技術瓶頸,限制了PMP的國產化,另外PMP的晶體尺寸,形態特殊、4-MP-1聚合的高性能催化劑、以及國外生產工藝的技術專利保護加大了國產化生產難度。 但作為新型樹脂PMP的關鍵單體,4-甲基-1-戊烯國產化生產意義重大。我國4-甲基-1-戊烯行業尚處于起步階段,未來國內企業仍需持續優化調整合成工藝及試驗配方,以突破其產業化壁壘。希望隨著國內科研人員的不斷深入研究,盡早掌握PMP的單體技術、聚合技術,能夠早日實現PMP的國產化。










